单分散液滴或胶囊的制备是气溶胶科学、喷墨打印及生物工程等多领域的长期需求,尤其在生物工程中,亚毫米级载细胞水凝胶胶囊对构建体外组织模型至关重要。传统方法常借助普拉托-瑞利不稳定性使复合射流在空气中破碎以生成液滴,但存在显著局限:液滴尺寸与喷嘴直径强相关,灵活性不足;且粘弹性射流易形成“珠串”形态,液滴间通过粘性细丝连接引发聚并,难以获得满足定量生物检测要求的高单分散性。
虽现有技术如电喷雾、气动雾化、单纯机械致动等试图改进,但电喷雾液滴通常小于10μm且需中和电荷,气动雾化尺寸分布较宽,单纯机械致动仅能在窄频率范围内实现单分散,均无法全面解决上述问题。同时,生物工程中常用的水凝胶胶囊制备还面临油相环境可能影响细胞存活、多细胞聚集体制备重现性差等挑战,因此亟需更优的制备策略。

近期,有研究人员开发了一种电-机械协同驱动的微流控平台,通过精确调控压电激励频率以选择射流破碎模式,并结合直流电场抑制“珠串”结构的液滴聚并,从而在宽范围内(半径~170–260 µm)制备出高单分散性的复合液滴。该液滴经凝胶化后,可形成尺寸均一、结构完整的核壳水凝胶胶囊,成功实现了细胞的高活性封装与3D培养。相关研究以“Extending the Range of Sizes of Monodisperse Core-Shell Hydrogel Capsules from Composite Jet Breakup by Combined Electrical and Mechanical Actuation”为题目,发表在期刊《Advanced Science》上。
本文要点:
1、本研究针对单分散核壳水凝胶胶囊制备中因液珠串结构导致多分散性的问题,提出了一种结合机械与电学驱动的微流控策略。
2、通过调节压电激励频率以选择特定断裂模式,并施加直流电势调控液滴聚并,实现了射流断裂的精准控制。
3、研究发现电场可抑制黏弹性细丝、减少聚并,从而显著提高液滴单分散性。使用内径95 μm的喷嘴,在800–2500 Hz频率与0–6 kV电压协同调控下,成功制备出半径约170–260 μm的单分散液滴。
4、该方法进一步应用于包载细胞的藻酸盐凝胶胶囊制备,在保持细胞活性的前提下,为高通量、可定标的3D细胞培养与生物检测提供了可靠平台。

该研究通过“电-机械联合驱动”解决传统射流破碎技术中“液滴多分散性”的核心问题,其物理机制如下:
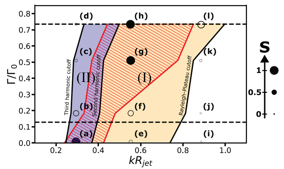
1、机械致动的模式选择:压电致动器施加周期性机械扰动(频率300-2700Hz),选择性放大射流的特定破碎模式(对应特定液滴尺寸),在650-1150Hz时,目标尺寸液滴占比(选择性S)>75%,1000Hz时S达90%,避免“多模式同时激发”导致的尺寸分散;
2、电致动的聚并抑制:施加0-6kV直流电势,通过两种物理机制抑制聚并:① 带电液滴间的库仑斥力减少碰撞聚并;② 当电势>2500V时,“珠串”间的粘性细丝(直径约为射流的1/10)触发“鞭动不稳定性”,提前破碎切断液滴连接,消除毛细管力驱动的聚并(传统技术中该力导致液滴减速并融合)。两者结合使液滴半径偏差<5%(5kV时),实现单分散。

图1. 封装平台与高速成像系统的工作原理

图2. 利用压电驱动实现普拉托-瑞利不稳定性的模式选择

图3. 带电射流在“珠串”形态下的聚并抑制

图4. 结合机械驱动与可变电势的可调谐均一液滴制备

图5. HEK 293T细胞在水凝胶胶囊内的球状体形成与生长

图6. 破碎前液滴(珠粒)的速度与间距特征

图7. kRjet-Γ参数图中射流响应与选择性的映射关系
论文链接:https://doi.org/10.1002/advs.202505501
(本文仅供参考学习及传递微流控研究成果,版权归原作者所有,如侵犯权益,请联系删除)






