研究背景
1、传统微珠的问题:
传统护理化妆品去角质微珠(PE、PP、PET等)为非生物降解材料,使用后进入水体难以去除,易被海洋生物吞食,且吸附持久性有机污染物(POPs,如农药、重金属),通过食物链危害人类健康。
中、美、英等多国已在2017年禁止其使用,但印度、阿联酋等市场仍在使用。
2、现有替代物的缺陷:
源自于花生壳、咖啡渣、纤维素等可再生自然资源的微珠存在尺寸/形状不均、易致敏、货架期短、去角质性能不稳定等问题。
部分生物基微珠依赖化学交联或溶剂密集型工艺,影响生物降解性与可持续性。


近期,有研究人员借助液滴微流控技术,以PLA及其与PEG的三嵌段共聚物为原料,成功制备出生物可降解的护理化妆品去角质微珠;该微珠不仅降解速度更快、对持久性有机污染物吸附率低,还通过了感官分析验证,适配化妆品实际应用。相关研究以“Eco-Friendly Synthesis of Biodegradable, PLA-Based Exfoliant Microbeads via Droplet Microfluidics for Sustainable Cosmetics”为题目,发表于期刊《ACS Applied Polymer Materials》。
本文要点:
1、该研究针对个人护理化妆品中传统塑料微珠(MBs)的环境污染问题,首次采用液滴微流控技术,以聚乳酸(PLA)及PLA-PEG-PLA三嵌段共聚物为原料,制备了可生物降解的去角质微珠。
2、系统探究了有机相和水相流速等工艺参数对微珠形貌、尺寸均一性的影响,通过水解降解、土壤降解实验证实,该微珠降解速率显著优于传统PE、MCC、核桃壳基微珠,且PLA-PEG-PLA(LA/PEG摩尔比160/1)降解性能最优;POPs吸附实验表明其对菲(PHEN)的吸附量极低,降低了污染物迁移风险;感官分析显示,PLA微珠清洁功效与传统产品相当,PLA-PEG-PLA微珠也具备良好的皮肤相容性和使用感。
3、综上,液滴微流控技术结合PLA基共聚物制备的微珠,兼具环境可持续性与化妆品应用实用性,为传统塑料微珠提供了理想的绿色替代方案。

微流控装置的关键组件(如芯片、泵体、分散相/连续相选择)在PLA基微珠制备中扮演何种角色?
① 芯片:采用5通道3D聚焦芯片(150μm通道),通过流体聚焦效应实现有机相液滴的均匀生成,是微珠尺寸均一性的核心保障;
② 泵体:Mitos压力泵搭配在线流速传感器,精准控制Qd和Qc(误差极小),避免流速波动导致的微珠形态异常;
③ 分散相/连续相:有机相选择DCM溶解PLA/共聚物(溶解性佳、易挥发去除),水相选择2%PVA溶液(兼具分散稳定性与生物相容性),二者协同确保液滴在固化前不融合,且残留溶剂易去除。

图1:用于PLA和PLA-PEG-PLA微滴制备及监测的微流控实验装置图。压力泵(1)与3D芯片(2)之间通过FEP管实现流体连接,采用数字显微镜(3)进行可视化观察,芯片内生成的微滴收集于含去离子水的玻璃管中。

图2:(a) 液滴微流控法制备的PLA和PLA-PEG-PLA微珠的SEM图像。有机相流速(Qd)分别为2.5(试验1)、5(试验2)、10(试验3)和15(试验4)μL/min,水相流速(Qc)固定为100 μL/min;(b) PLA和PLA-PEG-PLA单分散微珠的SEM图像,其中Qd和Qc分别固定为10 μL/min和100 μL/min,插图为所制备微珠的粒径分布图。所有样品中PLA和PLA-PEG-PLA的浓度均为2.0 wt%,微珠经真空干燥后进行SEM观察;(a) 中比例尺为10 μm,(b) 中比例尺为100 μm。

图3:微珠平均粒径随水相流速(Qc)的变化关系(n=3平行样)。有机相流速固定为10 μL/min,水相流速在100~500 μL/min范围内变化。

图4:微珠在海水和NaOH溶液中的水解降解行为。(i) 海水环境中微珠随时间的质量变化,(ii) NaOH溶液中微珠随时间的质量变化;(iii) 海水环境中降解120天后微珠的相应SEM显微照片,(iv) NaOH溶液中降解120天后微珠的相应SEM显微照片(比例尺均为10 μm);N=3平行样。

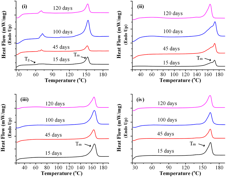
图5:PLA(i)及LA/PEG摩尔比为160/1(ii)、320/1(iii)、640/1(iv)的PLA-PEG-PLA制备的微珠,在海水中降解不同天数后的DSC衍射图。

图6:(a) PLA和PLA-PEG-PLA微珠在海水中的结晶度(Xc)变化;(b) 微珠假设的水解降解路径示意图;N=3平行样。

图7:(a) 微珠在180天内的土壤降解曲线,以特定时间点(7~180天)的质量损失百分比表示(n=3平行样);(b) 土壤降解180天后微珠的SEM图像(PLA、640/1和320/1样品的比例尺为10 μm,160/1样品的比例尺为1 μm)。

图8:25℃下,24小时内菲(PHEN)在各研究微珠上的吸附容量(%);N=3平行样。

图9:(a) 含PLA基微珠的去角质凝胶感官特性曲线的雷达图;(b) 感官分析中所有测试去角质凝胶的各项指标均值汇总。
论文链接:https://doi.org/10.1021/acsapm.5c03078
(本文仅供参考学习及传递微流控研究成果,版权归原作者所有,如侵犯权益,请联系删除)
下一篇:暂无






